10
Reducción de términos semejantes
Reducción de un polinomio que contenga términos semejantes de diversas clases


       En álgebra, es relevante destacar que los coeficientes numéricos no influyen en la determinación de si dos términos son o no semejantes. Por ejemplo, "3x^2" y "7x^2" son considerados términos semejantes, a pesar de tener diferentes valores numéricos como coeficientes.

P r o c e d i m i e n t o :
          Para reducir un polinomio con diversos términos semejantes de diversas clases, se procede de la siguiente manera:
1.  Se agrupan los términos semejantes de cada clase en un mismo paréntesis
2.  Se reducen los términos semejantes
3.  Se da la respuesta, ordenando el polinommio resultante
Nota: se consideran términos semejantes aquellos que comparten las mismas variables y están afectados por los mismos exponentes.
Enunciados de los problemas del Ejercicio 10

          Solución en imagen y o video de los veinte problemas del Ejercicio 10:
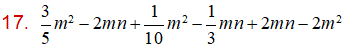
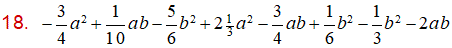
Reducir los polinomios siguientes:
MathType 6.0 Equation       MathType 6.0 Equation       MathType 6.0 Equation      MathType 6.0 Equation
MathType 6.0 Equation       MathType 6.0 Equation      
MathType 6.0 Equation       MathType 6.0 Equation
MathType 6.0 Equation      MathType 6.0 Equation
MathType 6.0 Equation       
MathType 6.0 Equation
MathType 6.0 Equation
MathType 6.0 Equation      MathType 6.0 Equation
MathType 6.0 Equation       MathType 6.0 Equation
MathType 6.0 Equation       MathType 6.0 Equation
MathType 6.0 Equation

Lista de reproducción sobre las soluciones del Ejercicio 10




Por: Juan Carlos Beltrán Beltrán



| Funciones | Límites y continuidad | La derivada | Aplicaciones de la derivada |
| La integral | Aplicaciones de la integral |
| Sucesiones y series infinitas |
| Cónicas - Polares - Paramétricas |
| Ecuaciones diferenciales |
| Cálculo vectorial | Álgebra lineal |
| Álgebra de Baldor |
| Blog Cálculo21 | Blog Algebra de Baldor | Blog Ecuaciones diferenciales | Blog Banco de matemáticas |
| Canal de YouTube |